CONCEPTO
Estudia todas las clases de exponentes y las diferentes relaciones que existen entre ellos, mediante leyes.
La operación que da origen al exponente es la potenciación.
POTENCIACIÓN
Es la operación que consiste en repetir un número denominado base, tantas veces como factor, como lo indica otro número que es el exponente, el resultado de esto se le denomina potencia.
Representación:

LEYES FUNDAMENTALES
1.-Producto de Potencias de Igual Base:

2.-Cociente de Potencias de Igual Base

3.-Producto de Potencias de Diferente Base

4.-Cociente de Potencias de Bases Diferentes

5.-Potencia de Potencia

OBSERVACIÓN

6.-Exponente Negativo

7.-Exponente Nulo o Cero

8.-Exponente Fraccionario

9.-Producto de Radicales Homogéneos

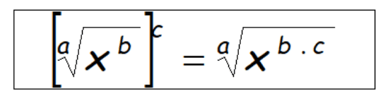
10.-Potencia de un Radical

11.-Raíz de Raíz

OBSERVACIÓN
